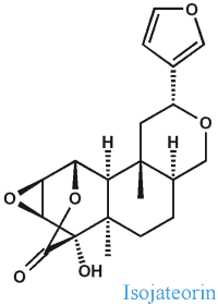
Isojateorin

Enthalten in:
Colombo-Wurzel (Colombo radix)

© Thomas Schöpke