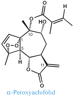
α-Peroxyachifolid

Enthalten in:
Schafgarbenkraut (Millefolii herba)
 

© Thomas Schöpke