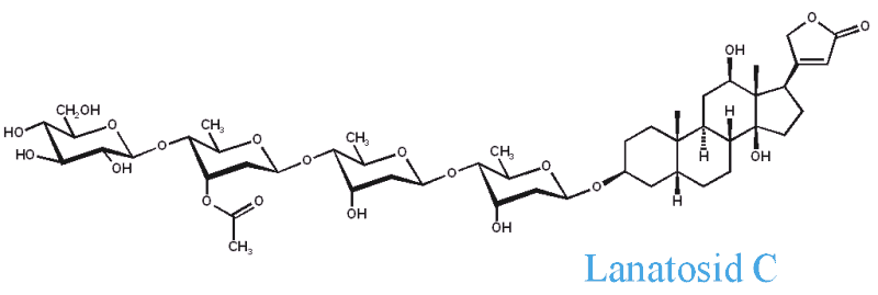
Lanatosid C

Enthalten in:
Digitalis-lanata-Blätter (Digitalis lanatae folium)

© Thomas Schöpke