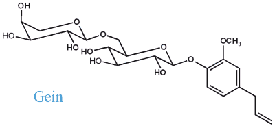
Gein

Enthalten in:
Nelkenwurz (Gei urbani rhizoma)

© Thomas Schöpke