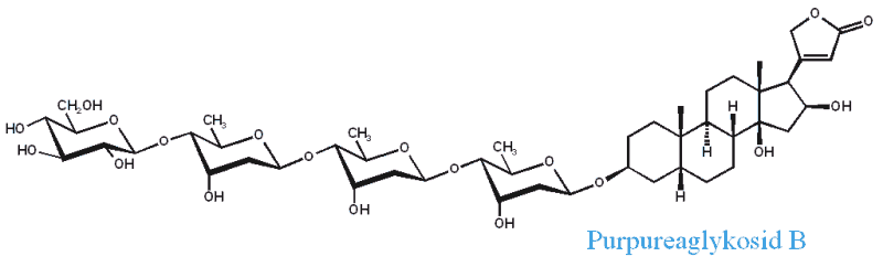
Purpureaglykosid B

Enthalten in:
Digitalis-purpurea-Blätter (Digitalis purpureae folium)

© Thomas Schöpke