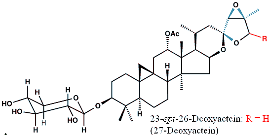
23-epi-26-Desoxyactein

Enthalten in:
Traubensilberkerzenwurzelstock (Cimicifugae racemosae rhizoma)

© Thomas Schöpke